目录

第2周周末作业及AB本参考答案

数字化教学研究
数字化教学研究
管理员
1536
文章
0
粉丝
作业答案评论2,466阅读模式

4365758da9773912e1274cebf8198618377ae29a

 

1、第2周周末作业:

3班:

1、订正AB本,到整式的乘法2;

2、教材P15页,习题1.6 第1题,第2题(第一问必做,第二问选做);

3、复习所学内容,回看洋葱数学第1-到第3节内容。

2班:

1、订正AB本,到整式的乘法2;

2、教材P17页,习题1.7 第1题,第2题;

3、新课标完成P11页第13题;

4、复习所学内容,回看洋葱数学第1-到第4节内容,预习整式乘法3,完成相关习题<教材及B本到第8页>。

附:

2、AB本参考答案:

大部分同学已经对完了,没有的请认真参考对照,红笔订正,下周一严格检查。

A

001002003004005006007008009

010011012

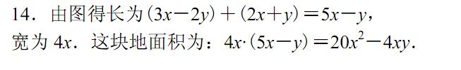
013014015

 

 

weinxin
我的微信
微信号已复制
遇见数学-微信公众号
善不由外来兮,名不可以虚作。做有情怀的教育。
 
匿名

发表评论

匿名网友
:?: :razz: :sad: :evil: :!: :smile: :oops: :grin: :eek: :shock: :???: :cool: :lol: :mad: :twisted: :roll: :wink: :idea: :arrow: :neutral: :cry: :mrgreen:
确定

拖动滑块以完成验证