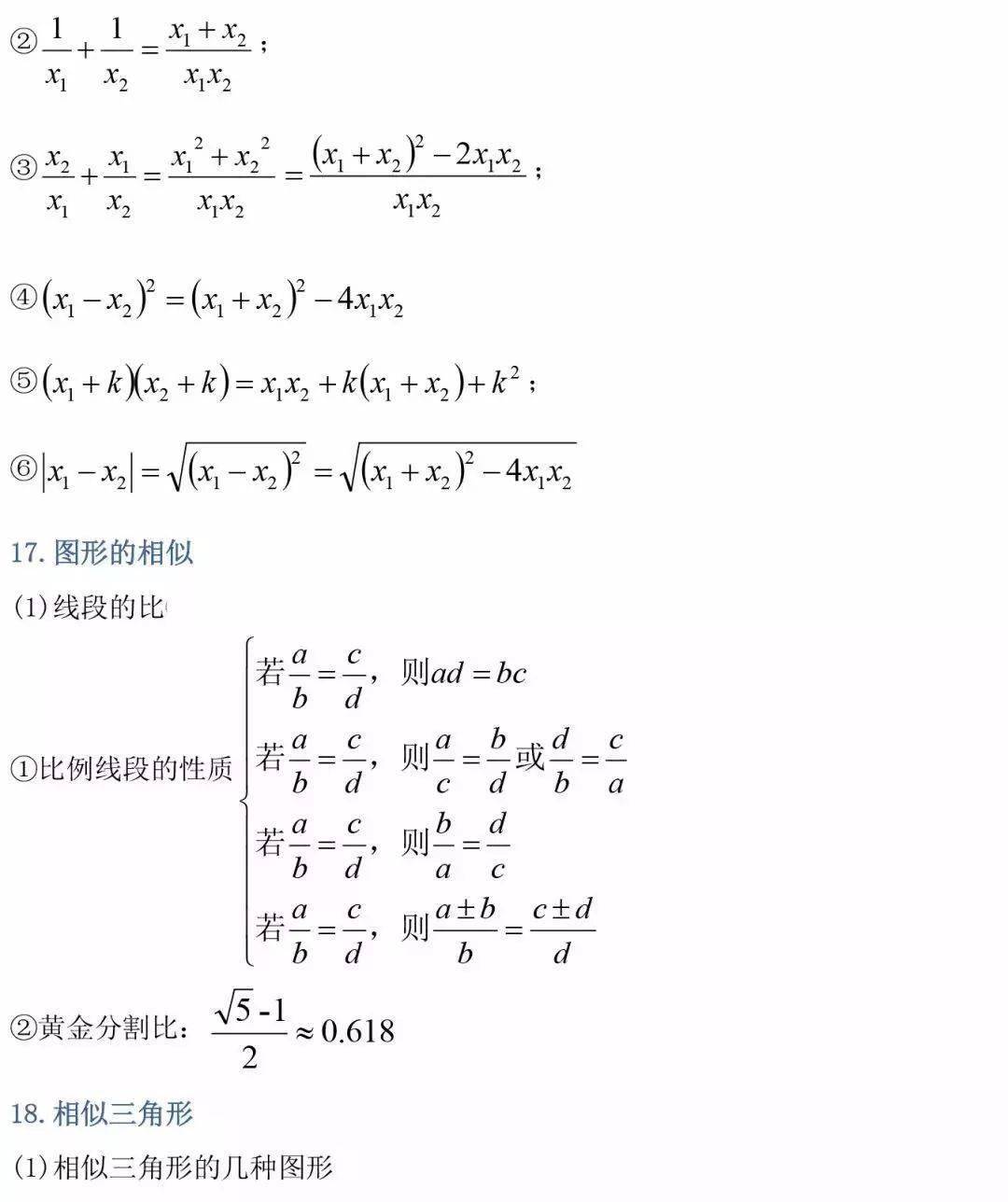
目录【归纳】初中主要公式清单2024年4月8日 12:01:13数字化教学研究 数字化教学研究管理员关注1535文章0粉丝 作业答案评论685阅读模式 点赞 登录收藏 https://www.ky125.com/2024/04/08/14531/ 复制链接 复制链接 我的微信微信号已复制遇见数学-微信公众号善不由外来兮,名不可以虚作。做有情怀的教育。